2026년공무원봉급인상률 2026 공무원봉급표
2026년 공무원 봉급 인상률 개요
2026년 공무원 보수는 기본급 기준 3.5% 인상으로 확정되었습니다. 이번 2026년 공무원 봉급 인상률은 2017년 이후 9년 만에 다시 3.5% 인상률을 기록하면서 최근 몇 년간의 저인상 기조가 일단락되었다는 평가가 나옵니다. 특히 2021년 이후 물가상승률에도 못 미치는 인상이 이어지면서 민간 대비 공무원 임금 수준이 90%에서 83.9% 수준까지 떨어졌다는 점을 감안하면, 이번 인상은 ‘보수 정상화’의 성격이 강합니다. 인상 구조를 간단히 정리하면 다음과 같습니다.

- 기본 인상률: 전 직급·전 호봉 일괄 3.5% 인상
- 저연차 공무원 추가 인상: 임용 5년 이하 저연차는 기본 3.5% + 추가 4.1%p, 합계 6.8% 수준 인상
- 정액급식비 인상: 월 140,000원 → 160,000원(2만 원 인상)
- 시간외근무수당 감액조정률 상향: 55% → 60%
즉 월급명세서에서 눈에 보이는 ‘기본급’뿐만 아니라 식대·시간외수당 계산 방식이 함께 조정되기 때문에, 체감 실수령 인상률은 3.5%보다 약간 더 높아지는 구조입니다.



2026년 공무원 보수 인상 배경
정부는 2026년 예산안 심의 과정에서 공무원 임금 인상을 단순한 처우 개선이 아니라 공공서비스 품질과 인재 확보를 위한 투자로 보고 있습니다. 최근 몇 년간 대기업·IT·플랫폼 중심으로 민간 임금이 빠르게 상승한 반면, 공무원 보수는 긴축 기조 아래 상대적으로 낮은 인상률에 묶여 있었습니다. 그 결과 다음과 같은 문제가 누적되었습니다.
- 민간 대비 보수 수준 하락: 2020년 약 90% 수준 → 최근 83.9% 수준으로 격차 확대
- 청년층 공직 기피 현상: 비슷한 스펙일 경우 민간 취업을 선호하는 현상 심화
- 공직사회 내부 불만 확대: 공무원노조가 6.6% 기본급 인상 요구 등을 내세우며 정부와 마찰



이런 환경에서 3.5% 인상은 공직사회의 사기를 일정 수준 회복시키고, 동시에 민간과의 극단적인 보수 격차를 줄이기 위한 절충적 선택이라고 볼 수 있습니다. 다만 6.6% 인상을 요구하던 노조 입장에서 보면 여전히 아쉬운 수준일 수 있고, 재정 여건을 고려한 “최대치에 가까운 인상” 정도로 이해할 수 있습니다.
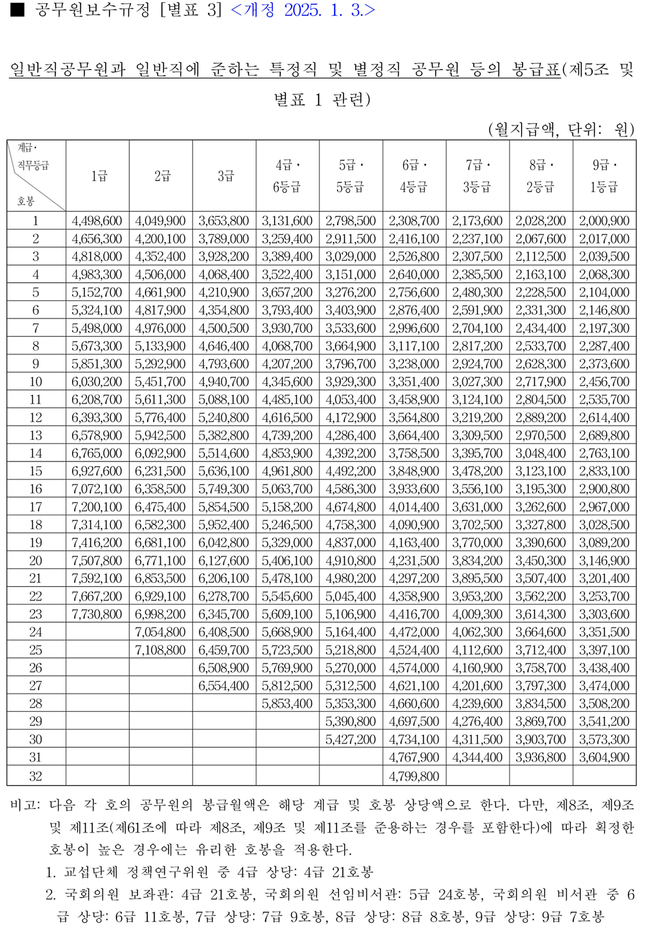
일반직 2026년 공무원 봉급표 핵심 구조
일반직 공무원과 일반직에 준하는 특정직·별정직 공무원은 공무원보수규정 [별표 3] 봉급표를 적용받습니다.

계급·직무등급별로 1호봉부터 최대 30호봉 이상까지 세부 금액이 정리되어 있으며, 2026년 기준 대표적인 월 봉급액은 다음과 같이 요약할 수 있습니다.
- 1급 1호봉: 4,656,100원
- 2급 1호봉: 4,191,600원
- 3급 1호봉: 3,781,700원
- 4급(6등급) 1호봉: 3,241,200원
- 5급(5등급) 1호봉: 2,896,400원
- 6급(4등급) 1호봉: 2,389,500원
- 7급(3등급) 1호봉: 2,249,700원
- 8급(2등급) 1호봉: 2,099,200원
- 9급(1등급) 1호봉: 2,070,900원
호봉이 올라갈수록 월 봉급이 매년 일정 폭으로 상승하며, 9급은 31호봉, 8급은 32호봉, 7급·6급·5급·4급·3급은 20호봉 이상, 2급·1급은 상대적으로 짧은 호봉 체계를 가지고 있습니다. 봉급표는 승진과 호봉승급이 중첩되면서 임금곡선을 완만하게 끌어올리는 구조를 유지하고 있습니다.



9급·7급·5급 공무원 초임과 인상 체감
2026년 공무원 봉급표에서 많은 분들이 가장 궁금해하는 구간은 9급·7급·5급 초임 구간입니다. 실제로 임용 직후 얼마를 받는지, 전년 대비 어느 정도 인상되는지가 생활과 직결되기 때문입니다.

대표적인 수치를 정리하면 다음과 같습니다.
- 9급 1호봉: 2,070,900원(월 기본급)
- 8급 1호봉: 2,099,200원
- 7급 1호봉: 2,249,700원
- 6급 1호봉: 2,389,500원
- 5급 1호봉: 2,896,400원
9급 1호봉의 경우 전년도 약 2,000,900원 수준에서 3.5% 인상이 반영되었다고 가정하면, 월 기본급 기준으로 약 7만 원 정도가 증가합니다. 여기에 정액급식비 160,000원, 직급보조비, 일부 부서의 정액수당 등을 포함하면 ‘명목 월 급여’는 210만 원대 초반까지 올라갑니다. 이후 4대 보험료와 소득세·지방소득세를 공제하면 실수령액은 대략 190만~193만 원 정도 범위로 추정할 수 있습니다.

중요한 포인트는 다음과 같습니다.
- 저연차(임용 5년 이내) 추가 인상 6.8% 적용으로, 1~5호봉 구간 실질 인상률이 더 크다.
- 동일 인상률이라도 가족수당·지역가산·시간외수당 등에 따라 실수령 증가는 개인별 편차가 크다.
- 초과근무가 많은 부서(세무·민원·경찰관서 등)는 시간외수당 증가로 체감 인상폭이 더 크다.



2026년 경찰·소방공무원 봉급표 특징
경찰공무원·소방공무원·의무경찰 등은 공무원보수규정 [별표 10] 봉급표가 별도로 적용됩니다.

일반직과 동일하게 3.5% 인상률이 반영되었으나, 계급 구조가 다르기 때문에 표 구조도 별도입니다. 각 계급별 1호봉 기준 월 봉급을 요약하면 다음과 같습니다.
- 치안정감·소방정감: 4,905,100원
- 치안감·소방감: 4,563,500원
- 경무관·소방준감: 4,167,700원
- 총경·소방정: 3,619,000원
- 경정·소방령: 3,126,100원
- 경감·소방경: 2,698,600원
- 경위·소방위: 2,434,700원
- 경사·소방장: 2,400,200원
- 경장·소방교: 2,150,800원
- 순경·소방사: 2,070,900원
순경·소방사 1호봉 봉급이 9급 공무원 1호봉과 같은 2,070,900원으로 책정된 점이 눈에 띕니다. 이후 호봉이 오를수록 경찰·소방 직군 특유의 위험도와 책임도를 반영해 경사·경위 구간에서 일반직보다 다소 높은 수준의 임금 곡선을 형성합니다. 여기에 경찰·소방 직군은 위험근무수당·특수근무수당·시간외수당 비중이 크기 때문에 실제 실수령액은 봉급표보다 더 큰 차이가 발생합니다.



대표적인 호봉 구간을 몇 가지 더 보면 다음과 같습니다.
- 경장 10호봉: 2,922,200원
- 경사 10호봉: 3,276,600원
- 경위 10호봉: 3,490,700원
- 총경 10호봉: 4,875,500원
경찰·소방 직군은 순경·소방사로 시작해 경장·경사 구간에서 장기간 근무하는 비율이 높기 때문에, 해당 구간의 세부 봉급 변화를 꼼꼼히 살펴보는 것이 중요합니다.



2026년 교원 봉급표(유치원·초등·중·고 교사)
유치원·초등학교·중학교·고등학교 교원은 공무원보수규정 [별표 11]의 별도 봉급표를 사용합니다. 교원 봉급표는 ‘호봉 단일체계’로 구성되어 있어, 교감·교장 등의 보직수당은 별도로 지급되고, 봉급 자체는 교원 전체가 동일 호봉표를 공유하는 구조입니다.

2026년 교원 봉급표 주요 구간은 다음과 같습니다.
- 1호봉: 1,982,100원
- 5호봉: 2,224,800원
- 10호봉: 2,471,400원
- 15호봉: 2,889,700원
- 20호봉: 3,481,000원
- 25호봉: 4,129,400원
- 30호봉: 4,826,800원
- 35호봉: 5,553,600원
- 40호봉: 6,205,700원
장기 근속을 전제로 하는 교직 특성상, 30호봉 이후에도 비교적 꾸준한 인상 구조를 유지하고 있습니다. 특히 30호봉 이상 구간에서는 봉급액이 500만 원을 넘어가면서, 각종 수당과 합산할 경우 명목상 연봉이 상당히 높은 수준에 이르게 됩니다.
비고 규정에 따라 기간제교원에 대한 봉급 지급 방식도 명시되어 있습니다. 핵심은 다음과 같습니다.
- 기간제교원: 제8조에 따라 산정된 호봉에 해당하는 봉급을 지급
- 기본적으로 ‘고정급’ 형태로 지급하되, 연금 수급 여부 등에 따라 교육부장관이 금액을 조정 가능
- 시간제 기간제교원: 정상근무 시 받을 봉급월액에 근무시간 비례율을 곱해 산정
따라서 임용 형태(정규·기간제·시간제)에 따라 동일 호봉이라도 실제 월 봉급액과 연금 적용 방식이 달라질 수 있습니다.
2026년 군인 봉급표 핵심 정리



군인의 봉급은 계급·호봉 체계가 일반직과 또 다르게 설계되어 있습니다. 장교(소위~소장), 준사관(준위), 부사관(원사·상사·중사·하사)로 구분되며, 2026년 기준 대표적인 1호봉 월 봉급은 다음과 같습니다.

- 소장 1호봉: 6,099,000원
- 준장 1호봉: 5,753,700원
- 대령 1호봉: 4,671,200원
- 중령 1호봉: 4,105,800원
- 소령 1호봉: 3,382,700원
- 대위 1호봉: 2,805,000원
- 중위 1호봉: 2,239,600원
- 소위 1호봉: 2,087,900원



준사관·부사관 구간을 보면 다음과 같습니다.
- 준위 1호봉: 2,544,300원
- 원사 1호봉: 3,568,100원
- 상사 1호봉: 2,468,000원
- 중사 1호봉: 2,118,000원
- 하사 1호봉: 2,070,900원
하사 1호봉 봉급이 9급·순경·소방사 1호봉과 같은 2,070,900원 수준에서 출발한다는 점이 특징입니다. 다만 군인의 경우 전투·함정·항공·전방 근무 등 각종 특수근무수당과 위험수당이 크게 붙기 때문에, 실제 체감 연봉은 봉급표 숫자보다 더 높은 수준이 됩니다. 장기복무 부사관·장교라면 정근수당·성과상여금·명절휴가비 등을 포함해 민간 기업과 비교해도 경쟁력 있는 총보수를 형성할 수 있습니다.






정액급식비·수당 인상과 시간외근무수당 변화
2026년 공무원 보수 체계에서 눈여겨볼 또 다른 포인트는 기본급 외 수당 조정입니다. 대표적인 변화는 다음과 같습니다.
- 정액급식비: 140,000원 → 160,000원(월 2만 원 인상)
- 시간외근무수당 감액조정률: 55% → 60%
정액급식비 인상은 전 직군·전 계급에 동일하게 적용되기 때문에, 특히 저연차·하위직 공무원에게는 체감되는 ‘실질 인상률’을 끌어올리는 효과가 큽니다. 예를 들어 9급 초임의 경우 기본급 인상분이 약 7만 원, 정액급식비 인상분이 2만 원이므로 단순 합산만 해도 월 9만 원 정도 명목소득이 늘어나는 셈입니다.



시간외근무수당의 감액조정률 상향도 의미가 큽니다. 감액조정률이란 예산·근무 실태를 고려해 계산된 이론상 시간외수당에서 일정 비율을 감액해 지급하는 비율을 의미합니다. 이 비율이 60%로 올라가면 같은 시간 초과근무를 하더라도 실제로 받는 수당 금액이 커지게 됩니다. 초과근무가 많은 부서라면 ‘봉급 3.5% 인상’ 이상으로 월 실수령액이 증가할 가능성이 있습니다.



2026년 공무원 봉급표 보는 법과 연봉 계산 요령
봉급표가 아무리 상세하게 제시되어 있어도, 실제로 나에게 얼마가 들어오는지를 계산하기는 쉽지 않습니다. 기본적인 계산 순서를 정리하면 다음과 같습니다.
- 본인의 직급·직무등급·호봉 확인
- 예: 일반직 9급 3호봉, 경찰 경장 5호봉, 교사 7호봉 등
- 인사기록카드·급여명세서에서 쉽게 확인 가능
- 봉급표에서 해당 칸의 ‘월 봉급액’ 찾기
- 예: 9급 3호봉 2,110,900원, 경장 5호봉 2,415,800원 등
- 연 기본급 계산
- 월 봉급액 × 12개월 = 연 기본급
- 예: 2,070,900원 × 12 = 약 24,850,800원
- 기본수당 합산
- 정액급식비(160,000원)
- 직급보조비
- 일부 직군의 특수·위험근무수당(경찰·소방·군인 등)
- 가족수당, 주거지원 관련 수당 등
- 상여·성과급·정근수당 등 연 단위 수당 반영
- 정근수당(근속연수에 비례)
- 명절휴가비
- 성과상여금(기관·개인별 차등)
- 공제항목 차감 후 실수령액 확인
- 공무원연금 또는 국민연금
- 건강보험료·장기요양보험료
- 고용보험료(적용 대상일 경우)
- 소득세·지방소득세
이 과정을 통해 자신의 연봉과 월 실수령액을 보다 현실적으로 가늠할 수 있고, 2025년과 2026년 명세서를 나란히 비교하면 ‘이번 인상이 나의 가계에 어느 정도 영향을 주는지’를 명확하게 체감할 수 있습니다.



2026년 공무원 봉급 인상의 의미와 전망
이번 2026년 공무원 봉급 인상률 3.5%와 봉급표 개편은 단순한 숫자 조정이 아니라 공직사회 전반의 구조를 다시 정렬하는 과정으로 볼 수 있습니다. 민간 대비 보수 격차를 완전히 해소했다고 보기는 어렵지만, 적어도 최근 몇 년간 누적된 박탈감을 완화하고 인력 유출을 완전히 방치하지 않겠다는 시그널을 준 셈입니다.



향후 관전 포인트는 다음과 같습니다.
- 물가·최저임금 추이와의 괴리: 향후 2~3년간 물가와 최저임금이 어떻게 움직이느냐에 따라 2026년 인상의 ‘실질 가치’가 평가될 것
- 직렬·직급별 보수 격차 조정: 현장직·위험직·야간근무 비중이 큰 직렬에 대한 수당 체계 보완 여부
- 연금·복지제도와의 연계: 봉급 인상과 연금 재정, 복지 포인트 제도 등의 조합 속에서 전체적 보수 패키지가 어떻게 재설계될지



공시 준비생 입장에서는 9급·7급 초임과 장기 근속 시 임금 곡선을 꼼꼼하게 비교해 보는 것이 중요합니다. 일반직·교육·경찰·소방·군인 등 직렬마다 보수 구조와 수당 체계가 다르기 때문에, 단순 초임만 볼 것이 아니라 10년·20년 뒤의 예상 연봉과 생활 패턴까지 함께 고려해 진로를 선택하는 것이 바람직합니다. 현직 공무원에게는 이번 봉급표를 기준으로 가계부를 재점검하고, 초과근무·수당 구조를 합리적으로 활용해 실질적인 가처분소득을 높일 수 있는 전략을 고민해 볼 시점입니다.



'경제정보' 카테고리의 다른 글
| 교육공무원 봉급표 2025 교사 호봉표, 2026년 근가봉급표 (0) | 2025.12.07 |
|---|---|
| 반도체 유리기판 대장주 관련주 정리 (0) | 2025.12.06 |
| 미국 ESS 관련주 대장주 (0) | 2025.12.06 |
| 주식 용어모음 - PBR PER 이란 (0) | 2025.12.06 |
| 오늘의 금시세 18K 1돈 가격은? 24K 순금 살때 팔때 금값 (0) | 2025.12.05 |