본문 바로가기
경제정보

2026년 공무원봉급 인상률 정리

by nexocet2026 2025. 12. 31.
반응형

2026년 공무원봉급 인상률 | 공무원봉급표 2026

2026년 공무원 보수 인상은 단순한 연봉 조정 차원을 넘어 공직사회 전반의 구조적 문제와 직결된 정책 이슈로 평가됩니다. 최근 수년간 민간 임금 상승 속도를 따라가지 못한 공무원 보수 체계, 저연차 공무원의 이탈 가속화, 재난·치안·민원 현장의 과중한 업무 부담이 복합적으로 작용하면서 정부는 비교적 큰 폭의 보수 인상을 결정했습니다. 특히 이번 인상안은 전 직급 일괄 인상과 함께 저연차 집중 보완, 현장 직무 수당 신설이라는 세 가지 축으로 구성되어 있다는 점에서 과거와 다른 성격을 보입니다.

이 글에서는 2026년 공무원봉급 인상 배경부터 직렬별 봉급 구조, 수당 개편의 실제 내용까지 단계적으로 정리합니다.

공무원 보수 인상 배경

공무원 보수 인상의 가장 직접적인 배경은 민간 대비 임금 격차 확대입니다. 2020년까지만 해도 민간 대비 공무원 보수 수준은 약 90% 내외를 유지했으나, 최근 몇 년간 대기업과 전문직 중심의 급격한 임금 인상으로 격차가 빠르게 벌어졌습니다.

2023년 기준 공무원 보수는 민간 대비 약 83.9% 수준까지 하락한 것으로 평가되며, 이는 공직 경쟁력 약화로 직결되었습니다. 특히 7~9급 저연차 공무원의 경우 낮은 초임과 높은 업무 강도로 인해 조기 퇴직 비율이 지속적으로 증가했습니다.

정부는 이러한 구조적 문제를 완화하기 위해 전 직급 평균 3.5% 인상이라는 비교적 높은 인상률을 선택했고, 저연차 구간에는 추가 인상이라는 방식으로 차등 보완을 적용했습니다.

2026년 공무원봉급 인상률

2026년 공무원 보수 인상률의 핵심은 ‘평균 3.5%’입니다. 이는 2017년 이후 9년 만에 가장 높은 수준의 인상률로, 직급과 직렬을 가리지 않고 동일하게 적용되는 기본 인상분입니다. 여기에 7~9급 저연차 공무원에게는 추가 인상분 3.1%가 더해져 최대 6.6%까지 인상됩니다. 결과적으로 동일한 공무원 조직 안에서도 경력 초기 구간의 체감 인상률이 가장 높아지는 구조입니다.

이는 하후상박 기조를 일부 반영한 조치로 평가되며, 단기적으로는 신규 인력 유입과 조기 이탈 완화에 긍정적인 영향을 줄 것으로 예상됩니다.

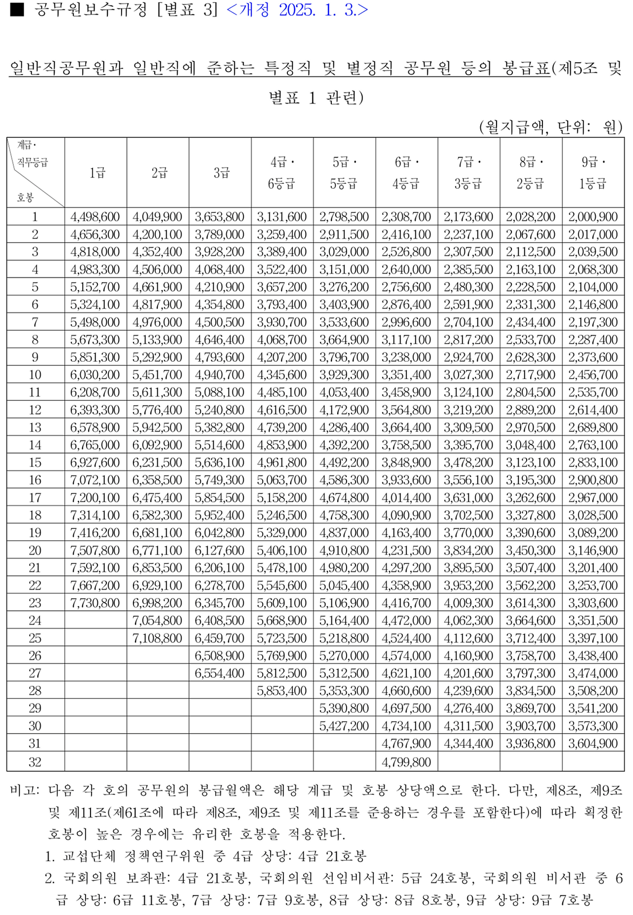
2025년 공무원 봉급표

일반직렬 2026년 공무원봉급표

일반직 공무원은 1급부터 9급까지의 직급 체계와 호봉제로 구성됩니다. 2026년 봉급표는 2025년 봉급을 기준으로 평균 3.5% 인상된 구조를 기본으로 하되, 저연차 구간은 추가 인상 효과가 반영됩니다. 주요 직급별 1호봉 기준 기본급은 다음과 같이 정리할 수 있습니다.

공무원 봉급표 2026

  • 1급 약 4,656,100원
  • 2급 약 4,191,600원
  • 3급 약 3,781,700원
  • 4급 약 3,241,200원
  • 5급 약 2,896,400원
  • 6급 약 2,389,500원
  • 7급 약 2,249,700원
  • 8급 약 2,099,200원
  • 9급 약 2,070,900원

9급 1호봉 기준으로 보면 기본급 외 각종 수당을 포함한 연 보수는 약 3,428만 원, 월 평균 약 286만 원 수준으로 추산됩니다. 다만 이는 시간외 근무, 가족수당, 명절휴가비 등을 포함한 평균치이므로 개인별 체감 소득은 상당한 차이가 발생할 수 있습니다.

2026년 소방 경찰 공무원 봉급표

경찰과 소방공무원은 기본 봉급 체계는 일반직과 유사하지만, 위험근무수당과 특수업무수당의 비중이 상대적으로 높습니다.

경찰·소방 공무원 봉급표 2026

2026년 기준 경찰 계급별 1호봉 기본급을 보면 순경 약 2,070,900원, 경장 약 2,150,800원, 경사 약 2,400,200원, 경위 약 2,434,700원, 경정 약 3,619,000원, 총경 약 4,167,700원 수준입니다. 소방공무원 역시 소방사부터 소방감까지 동일 구조의 봉급표가 적용되며, 재난 현장 투입 빈도가 높은 만큼 위험수당 체감 효과가 큽니다.

2026년 군인 월급

군인 봉급은 장성, 장교, 준사관, 부사관, 병으로 세분화됩니다.

2026 군인 월급

2026년 장교 1호봉 기준 기본급은 소장 약 6,099,000원, 준장 약 5,753,700원, 대령 약 4,671,200원, 중령 약 4,105,800원, 소령 약 3,382,700원, 대위 약 2,805,000원, 중위 약 2,239,600원, 소위 약 2,087,900원 수준입니다.

부사관 계열에서는 원사 약 3,568,100원, 상사 약 2,468,000원, 중사 약 2,118,000원, 하사 약 2,070,900원으로 일반직 9급과 유사한 출발선을 보입니다. 병사 월급 역시 단계적 인상 기조가 유지되며, 병장 기준 월 100만 원에 근접하는 구조가 형성되고 있습니다.

교사 교원 교육 공무원봉급표 2026

교육공무원은 직급이 아닌 호봉 중심의 봉급 체계를 사용합니다. 2026년 기준 교원 호봉별 기본급 예시는 다음과 같습니다.

2026년 교사 호봉표

  • 1호봉 약 1,982,100원
  • 10호봉 약 2,471,400원
  • 20호봉 약 3,481,000원
  • 30호봉 약 4,826,800원
  • 40호봉 약 6,205,700원

대부분의 교사는 임용 초기 1~4호봉에서 시작해 정년까지 30~40호봉에 도달합니다. 장기 근속 시 봉급 상승폭이 크다는 점은 장점이지만, 초기 체감 급여가 낮다는 점은 여전히 개선 과제로 남아 있습니다.

공무원 수당 인상

2026년 보수 개편의 핵심은 봉급 인상보다 수당 구조 개편에 있습니다. 특히 재난·치안·민원 현장 중심으로 새로운 수당이 도입되거나 기존 수당이 대폭 인상되었습니다.

재난·안전 관련 수당

재난안전관리 담당 공무원에게는 격무 가산금과 정근가산금이 각각 월 5만 원씩 신설됩니다. 이는 동일 업무를 2년 이상 수행한 경우 지급되는 구조로, 장기 현장 근무자의 피로 누적 문제를 고려한 조치입니다. 재난 현장 비상근무수당은 1일 8,000원에서 16,000원으로 두 배 인상되며, 월 상한액도 12만 원에서 18만 원으로 확대됩니다.

경찰·소방 특수수당

경찰과 소방공무원의 위험근무수당은 월 7만 원에서 8만 원으로 인상됩니다. 인파 사고를 직접 담당하는 경찰과 대형 재난 발생 시 통제단을 운영하는 소방공무원에게는 월 8만 원의 특수업무수당이 새로 도입됩니다. 112 신고 출동수당과 화재·구조·구급 출동 가산금의 1일 상한액도 4만 원으로 상향 조정됩니다.

민원 담당 수당

전자 민원과 비대면 행정이 확대됨에 따라 민원 업무 수당 지급 대상이 오프라인 민원실 근무자에서 온라인 민원 담당자까지 확대됩니다. 비대면 민원 담당자는 월 3만 원, 민원실 근무자는 기존 월 5만 원에서 7만 원으로 인상됩니다. 이는 감정노동 부담을 공식적으로 보상 구조에 반영했다는 점에서 의미가 큽니다.

성과 및 직무 관련 수당

특별 성과 가산금 지급 대상은 기존 상위 2%에서 5%로 확대됩니다. 이에 따라 최상위 성과등급 공무원은 성과상여금 또는 성과연봉의 50%를 추가로 받을 수 있는 기회가 늘어납니다. 중요 직무급 지급 대상 역시 기관 정원의 24%에서 27%로 확대되며, 군인의 경우 중요 직무급과 위험근무수당을 동시에 받을 수 있도록 제도가 개선됩니다.

2026년 공무원 봉급표 보는 법과 연봉 계산 요령

2026년 공무원 봉급표는 직급과 호봉에 따라 월 기본급이 명확히 제시되어 있지만, 이를 그대로 받아들이면 실제 체감 소득과는 상당한 차이가 발생합니다. 봉급표는 말 그대로 ‘기초 재료’에 불과하며, 실제 연봉과 월 실수령액을 파악하기 위해서는 단계별 계산 과정이 반드시 필요합니다. 특히 2026년처럼 기본급 인상과 수당 개편이 동시에 이뤄진 해에는 봉급표 해석 방식에 따라 체감 인상이 크게 달라질 수 있습니다.

본인의 직급·직무등급·호봉 확인

연봉 계산의 출발점은 자신의 신분을 정확히 아는 것입니다. 일반직이라면 몇 급 몇 호봉인지, 경찰·소방이라면 계급과 호봉이 무엇인지, 교원이라면 교육공무원 호봉이 어디에 해당하는지를 먼저 확인해야 합니다. 이는 인사기록카드나 급여명세서에서 쉽게 확인할 수 있으며, 최근 전보나 승진, 호봉 승급이 있었다면 반드시 최신 기준으로 확인해야 합니다. 예를 들어 일반직 9급 3호봉, 경찰 경장 5호봉, 교사 7호봉처럼 구체적으로 정리해 두는 것이 중요합니다.

봉급표에서 월 봉급액 찾기

직급과 호봉을 확인했다면 2026년 봉급표에서 해당 칸의 월 봉급액을 찾습니다. 이 금액이 바로 기본급의 기준이 됩니다. 예를 들어 9급 3호봉이 약 2,110,900원, 경장 5호봉이 약 2,415,800원이라면 이 수치가 모든 계산의 출발선입니다. 여기서 주의할 점은 봉급표의 금액이 ‘세전’이며, 수당이 전혀 포함되지 않은 순수 기본급이라는 사실입니다.

연 기본급과 기본수당 합산

월 봉급액에 12개월을 곱하면 연 기본급이 산출됩니다. 예를 들어 월 2,070,900원이라면 연 기본급은 약 24,850,800원이 됩니다. 여기에 기본적으로 지급되는 수당을 더해야 실제 연봉의 윤곽이 드러납니다. 대표적으로 정액급식비 월 160,000원은 대부분의 공무원에게 공통 적용되며, 직급보조비는 직급에 따라 차등 지급됩니다. 경찰·소방·군인 등 일부 직군은 특수근무수당이나 위험근무수당이 추가되며, 가족수당이나 주거 관련 수당이 있는 경우 역시 빠짐없이 합산해야 합니다.

연 단위 수당 반영과 실수령액 계산

연봉을 현실적으로 계산하려면 연 단위로 지급되는 수당을 반드시 고려해야 합니다. 정근수당은 근속연수에 따라 차등 지급되며, 명절휴가비는 기본급의 일정 비율로 설과 추석에 지급됩니다. 여기에 기관과 개인 성과에 따라 성과상여금이 추가됩니다. 마지막으로 공무원연금 또는 국민연금, 건강보험료, 장기요양보험료, 소득세와 지방소득세 등을 공제하면 월 실수령액이 산출됩니다. 이 과정을 거쳐야 비로소 ‘봉급표상의 인상’이 가계에 미치는 실제 영향을 체감할 수 있습니다.

2026년 봉급 인상 이후 연봉 비교와 체감 변화

2026년 봉급 인상은 평균 3.5%라는 숫자만 보면 크지 않아 보일 수 있지만, 실제로는 연봉 구조 전반에 걸쳐 누적 효과를 만들어냅니다. 특히 저연차 공무원과 수당 비중이 높은 직군일수록 체감 인상 폭은 봉급 인상률을 넘어서는 경우가 많습니다.

2025년과 2026년 명세서 비교의 중요성

체감 변화를 가장 명확하게 확인하는 방법은 2025년과 2026년 급여명세서를 나란히 놓고 비교하는 것입니다. 기본급 증가분뿐 아니라 정근수당, 명절휴가비, 시간외근무수당의 기준 금액이 함께 상승하면서 연간 총수령액의 차이가 점차 벌어집니다. 특히 시간외근무가 잦은 직군이나 야간·휴일 근무가 많은 직렬의 경우, 기본급 인상이 수당 산정 기준을 끌어올리는 효과를 만들어 체감 인상 폭이 더 커집니다.

저연차 공무원의 체감 인상 구조

2026년 봉급 개편에서 가장 눈에 띄는 부분은 7 ~ 9급 저연차 구간의 추가 인상입니다. 기본 인상률 3.5%에 더해 별도의 추가 인상분이 적용되면서 초임 공무원의 연봉 증가 폭은 상대적으로 크게 나타납니다. 이는 단순히 월급이 오르는 효과를 넘어, 명절휴가비와 정근수당의 기준선 자체를 끌어올리는 구조적 변화로 이어집니다. 결과적으로 1~3년 차 공무원은 이전보다 빠르게 생활 안정 구간에 진입할 수 있게 됩니다.

중·고연차 공무원의 현실적 평가

반면 중·고연차 공무원의 경우 인상률 자체는 동일하지만 체감 효과는 상대적으로 제한적일 수 있습니다. 이미 기본급 규모가 큰 만큼 절대 금액은 늘어나지만, 물가 상승과 자녀 교육비, 주거비 부담을 고려하면 체감 만족도는 낮아질 수 있습니다. 이 때문에 봉급 인상만으로는 한계가 있으며, 직무 난이도와 책임에 비례한 수당 체계 보완이 함께 논의될 필요가 있습니다.

2026년 공무원 봉급 인상의 의미와 향후 전망

2026년 공무원 봉급 인상은 단순한 임금 조정이 아니라 공직사회 전체에 대한 정책적 메시지로 해석할 수 있습니다. 최근 몇 년간 누적된 박탈감과 인력 유출 문제를 방치하지 않겠다는 신호이자, 공공 부문의 최소한의 경쟁력을 유지하겠다는 선언에 가깝습니다.

물가와 최저임금 흐름 속에서의 실질 가치

이번 인상의 실질 가치는 향후 2~3년간 물가와 최저임금 추이에 따라 평가될 것입니다. 만약 물가 상승률이 다시 가파르게 오를 경우 3.5% 인상의 체감 효과는 빠르게 희석될 수 있습니다. 반대로 물가가 안정된다면 이번 인상은 공무원 가계에 의미 있는 완충 장치로 작용할 수 있습니다.

직렬·직급별 보수 격차 조정 가능성

향후 관전 포인트 중 하나는 직렬과 직급 간 보수 격차 조정입니다. 재난·치안·현장직처럼 위험과 야간 근무 비중이 높은 직렬에 대한 수당 체계가 얼마나 정교하게 보완될지가 핵심입니다. 봉급 인상보다 수당 구조 개선이 체감 만족도를 좌우하는 시점에 접어들었다고 볼 수 있습니다.

연금·복지제도와의 연계 과제

마지막으로 봉급 인상은 연금과 복지제도와 분리해서 볼 수 없습니다. 봉급이 오르면 연금 부담 구조와 재정 안정성 문제도 함께 논의될 수밖에 없습니다. 향후에는 봉급, 연금, 복지포인트 제도를 하나의 보수 패키지로 묶어 설계하는 방향으로 논의가 확장될 가능성이 큽니다. 2026년 인상은 그 출발점에 불과하며, 공직 보수 체계 전반의 재설계는 여전히 진행 중인 과제라고 할 수 있습니다.

결론

2026년 공무원 보수 인상은 실질임금 회복을 위한 중요한 전환점으로 평가할 수 있습니다. 평균 3.5% 인상이라는 수치는 단기적으로는 체감 효과가 분명하지만, 장기적으로는 기본급 중심 구조로의 개편, 직렬 간 격차 해소, 연금 체계와의 연계 개선이라는 과제가 여전히 남아 있습니다. 특히 수당 비중이 과도하게 높은 구조는 안정성과 예측 가능성을 떨어뜨리는 요인이 될 수 있습니다.

그럼에도 불구하고 이번 인상안은 저연차 보호와 현장 직무 보상 강화라는 방향성을 분명히 했다는 점에서 의미 있는 첫걸음이라 평가할 수 있습니다.

반응형